×
模态框(Modal)标题
在这里添加一些文本
Close
Close
Submit
Cancel
Confirm
×
模态框(Modal)标题
×
中国社会科学引文索引来源(CSSCI)期刊
中国人文社会科学核心期刊
中国中文核心期刊
中国最具国际影响力学术期刊
全国高校精品社科期刊
EN
中文
Home
About Journal
Editorial Board
Instruction
Browse
Current Issue
Online First
Highlights
Topic
Archive By Channels
Archive
Most Viewed
Most Download
Most Cited
E-mail Alert
RSS
Subscription
Contact us
EN
中文
Figure/Table detail
THE IMPACT OF LIVELIHOOD RESILIENCE ON SUBJECTIVE WELL-BEING OF FARMERS IN OUT-OF-POVERTY MOUNTAINOUS AREAS: A CASE STUDY OF THE LONGNAN MOUNTAINOUS AREA
Zuo-tao HU, Xue-yan ZHAO
HUMAN GEOGRAPHY
, 2025, 40(
5
): 101-111. DOI:
10.13959/j.issn.1003-2398.2025.05.011
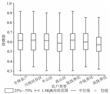
Fig. 3
The Livelihood Resilience of Different Types of Farmers
Other figure/table from this article
Fig. 1
Study Area
Fig. 2
Framework for Analysis of Livelihood Resilience and Well-being Enhancement
Tab. 1
Evaluation Index System for the Resilience of Farmers' Livelihoods
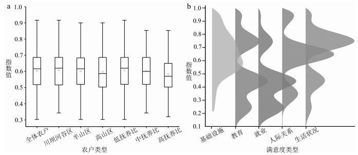
Fig. 4
Level Distribution of Subjective Well-being of Farmers and Peak Distribution of Subjective Well-being in Different Dimensions
Tab. 2
Subjective Well-being Evaluation Index System of Farmers
Tab. 3
Explanatory Variables
Tab. 4
Regression Analysis of Influencing Factors of Farmers' Subjective Well-being
Fig. 5
Mechanism of Impact of Livelihood Resilience on Subjective Well-being