中国社会科学引文索引来源(CSSCI)期刊
中国人文社会科学核心期刊
中国中文核心期刊
中国最具国际影响力学术期刊
全国高校精品社科期刊
EN
中文
Home
About Journal
Editorial Board
Instruction
Browse
Current Issue
Online First
Highlights
Topic
Archive By Channels
Archive
Most Viewed
Most Download
Most Cited
E-mail Alert
RSS
Subscription
Contact us
EN
中文
More options
Journal
DOI
ALL
HUMAN GEOGRAPHY
Publication year from
To
All
1986
1987
1988
1989
1990
1991
1992
1993
1994
1995
1996
1997
1998
1999
2000
2001
2002
2003
2004
2005
2006
2007
2008
2009
2010
2011
2012
2013
2014
2015
2016
2017
2018
2019
2020
2021
2022
2023
2024
2025
2026
All
2026
2025
2024
2023
2022
2021
2020
2019
2018
2017
2016
2015
2014
2013
2012
2011
2010
2009
2008
2007
2006
2005
2004
2003
2002
2001
2000
1999
1998
1997
1996
1995
1994
1993
1992
1991
1990
1989
1988
1987
1986
Volume
Issue
Author
Affiliation
Search result
Journal
Loading ...
Publication year
Loading ...
Fig. 1
The Geographical Connotation and Characteristic Analysis of Common Prosperity
Fig. 2
Stage Diagram of Regional Development
Fig. 3
The Driving Force of Development from the Perspective of Geographical Nature
Fig. 4
The Driving Force of Development from the Perspective of Spatial Effect
Fig. 5
The Ternary Equilibrium of 'Government-Market-Society'
Fig. 6
Mechanism Analysis of Regional Equilibrium
Fig. 7
Mechanism Analysis of Urban-rural Equilibrium
Fig. 8
Mechanism Analysis of Group Equilibrium
Fig. 9
The Practical Course of China's Common Prosperity Since the Reform and Opening-up
Fig. 1
Reconstructing the Theoretical Framework of Behavioral Geography from a Relational Perspective
Fig. 1
Influence Mechanism of Relational Factors on Regional Development
Fig. 2
Mechanism of Interaction between the Old and New Three Elements
Fig. 3
The Spatial Pattern of China's Economic Growth in the First and Last Time Windows
Fig. 4
Changes in the Contribution of Each Impact Factor from 2003 to 2021
Fig. 5
Detection of Factor Interactions in China's Economic Growth in the First and Last Time Windows
Fig. 1
Study Area
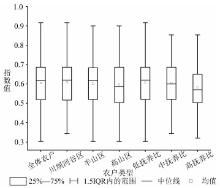
Fig. 3
The Livelihood Resilience of Different Types of Farmers
Tab. 1 Basic Information of Interviewees
Fig.1
The Formation Process of Cognitive Environment
Fig. 2
Reconstructing the Analytical Framework of Behavioral Geography from a Relational Perspective
page
Page 1 of 23
Total 450 records
First page
Prev page
Next page
Last page